LabVIEW

cancel
Showing results for 
Search instead for 
Did you mean: 

How do i add a graph behind my waveform .

How do i make a graph behind my waveform . 

 

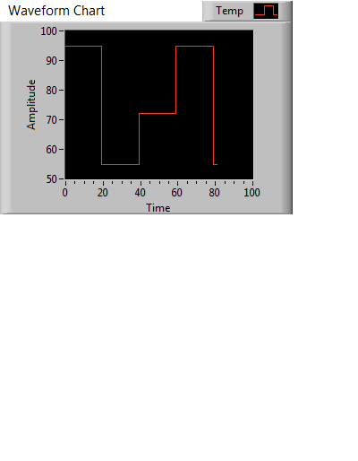
Currently mine is like this Untitled.png

 

 

 

Example. 

Untitled.png

0 Kudos
Message 1 of 19
(3,723 Views)

You have to plot those two parameters in the same plot. You can use the 2D array format of waveform chart to achieve this.

-----

The best solution is the one you find it by yourself
0 Kudos
Message 2 of 19
(3,720 Views)

I don't get it . 

0 Kudos
Message 3 of 19
(3,718 Views)

You can build the data and pass it to a single chart. Check the attached example and also go thorugh the LabVIEW basic materials.

-----

The best solution is the one you find it by yourself
0 Kudos
Message 4 of 19
(3,703 Views)

i can't view it . mine is labview 7.1 

0 Kudos
Message 5 of 19
(3,699 Views)

Just check the attached picture. In the chart incase if you are not getting the 2 plots you may need to transpose the array. for getting two plots in the same chart click the y scale and duplicate it and then try the attached example.

 

Chart.png

 

Chart FP.png

 

Note: The attached example is just for showing multiple plots in a single chart.

 

good luck.

-----

The best solution is the one you find it by yourself
0 Kudos
Message 6 of 19
(3,694 Views)

I understand about the multiple plots . but as you can see the picture . one is in wave form , one is square form . 

0 Kudos
Message 7 of 19
(3,688 Views)

Yes both has data right so you can plot it.

-----

The best solution is the one you find it by yourself
0 Kudos
Message 8 of 19
(3,683 Views)

Can u help me take a look . i don't get it still . thanks . been trying for the whole day .

0 Kudos
Message 9 of 19
(3,669 Views)

I see you are plotting the same data again with different colors. But as per your requirement you need to have different plots for different data. I don't understand what you are trying to achieve in the vi you attached.

-----

The best solution is the one you find it by yourself
0 Kudos
Message 10 of 19
(3,665 Views)